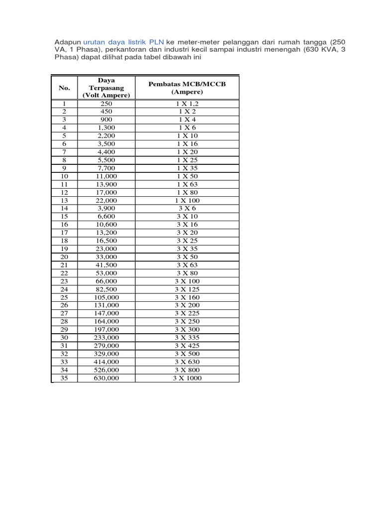
Kalau mencakup rumah tangga hingga industri urutan daya listrik bisa mencapai puluhan. Dalam melakukan proses pemasangan listrik baru PLN kamu harus memenuhi juga syarat administrasinya.
Daya 900 VA Rp1565000.

Urutan daya listrik pln 2021. Golongan tarif untuk keperluan rumah tangga besar pada tegangan rendah dengan daya 6600 VA ke atas R-3TR. Selengkapnya Tariff Adjustment Tariff Adjustment dilaksanakan setiap bulan. Misalnya sebelumnya kamu cukup dengan 900 VA namun seiring berjalannya waktu kamu banyak membeli alat elektronik baru sehingga dayanya gak cukup.
Kementerian Energi dan Sumber Daya Mineral ESDM telah menetapkan harga listrik per kWh atau tarif dasar listrik 2021 untuk periode 1 April 2021 30 Juni 2021. Golongan tarif untuk keperluan bisnis menengah pada tegangan rendah dengan daya 6600 VA sampai dengan 200 kVA 8-2TR. Begitu pun dengan tegangan listrik yang umum digunakan oleh PLN dari 6 kilo volt 12 kilo volt 20 kilo volt dan 24 kilo volt.
Dalam situs resmi PLN dijanjikan bahwa proses penambahan daya akan berlangsung selama 7 hari kerja tetapi dapat dilakukan lebih lama jika lokasi rumah kamu berada di daerah yang sulit dijangkau oleh petugas PLN. Pelanggan dapat menikmati layanan tambah daya listrik dengan hanya membayar Rp 202100 jika melakukan pembelian produk Renewable Energy Certificate REC seharga Rp 115500. Biaya Guna Penyambungan BP Uang Jaminan sebagai Langganan UJL Biaya Materai.
Golongan tarif untuk keperluan rumah tangga menengah pada tegangan rendah dengan daya 3500 VA sd 5500 VA R-2TR. Daya 2200 VA Rp3365000. 6 Syarat Buruh Bekasi Dapat BSU Rp 1 Juta Selama PPKM Level 4.
Daya 1300 VA Rp2265000. Biaya pasang listrik baru daya 900 VA. Biaya pasang listrik baru prabayar.
Membeli token listrik atau stroom perdana minimal Rp5000. Biaya pasang listrik baru. PLN Sementara bagi masyarakat Rumah Tangga dengan daya 900 VA PLN akan memberikan diskon listrik sebesar 50 persen.
Perlu diketahui bahwa cara dapat token listrik gratis PLN periode Juli-Desember 2021 tersebut dapat dilakukan melalui smartphone atau HP. Jakarta CNBC Indonesia - PT PLN Persero menawarkan layanan tambah daya listrik pelanggan dengan biaya hanya sebesar Rp 202100 mulai hari ini Rabu 14072021 hingga 31 Agustus. Standard PLN Ukuran Kabel Minimal vs Ampere.
Daftar Urutan Daya Listrik PLN. Berapa Biaya Tambah Daya Listrik PLN Terbaru. Biaya pasang listrik baru daya 450 VA.
Batas 1300 VA dengan biaya pemakaian Rp. Berikut daftar tarif listrik per kWh PLN terbaru April-Juni 2021 untuk 13 golongan pelanggan non subsidi. Biaya Pasang Baru Listrik PLN.
Untuk golongan tarif listrik ini terdapat dua batas daya yang dimiliki. Ukuran cross section kabel size dalam mm jarakatau mm area. PLN memberikan token listrik gratis kepada masyarakat mulai bulan Januari hingga Maret 2021.
Daya 4400 VA Rp5965000. Daya 5500 VA Rp7465000. Melalui pernyataan Bob Saril selaku Direktur Niaga dan Manajemen Pelanggan PT PLN diskon tagihan listrik.
SPLN - Standar PLN AKLI Asosiasi Kontraktor Listrik dan Mekanikal Indonesia Note. Lantas kapan perlu tambah daya PLN. Berikut rincian lengkap harga pasang baru listrik terbaru di 2021.
2020 PT PLN Persero. Kamu perlu menambah daya listrik ketika penggunaan listrik meningkat dan listrik di rumah sering mati. Program ini telah resmi dan dibenarkan oleh pihak PLN.
Dalam kelistrikan dinegara kita sistem tegangan distribusi yang digunakan adalah berkisar 3 KV 6 KV 7 KV 9 KV 115 KV 20 KV dan 24 KV. Biaya pasang listrik baru daya 2200 VA. Sebelumnya promo ini berlaku hanya sampai 30 Juni 2021.
Token Listrik Gratis PLN. Besarnya daya listrik untuk kategori rumah tangga misalnya 900 VA 1300 VA 2200 VA dan seterusnya. Kemudian terdapat pula batas daya yaitu 2200 VA dengan biaya pemakaian Rp.
Entri ini telah di terbitkan di Area Jangkauan dan telah ditandai daftar listrik PLN jasa listrik service listrik on 24 September 2019. Aturan tentang Tarif Tenaga Listrik Tarif Tenaga Listrik yang disediakan oleh PLN mengacu pada Peraturan Menteri Permen ESDM No. Daya 7700 VA Rp11875000 belum termasuk penerbitan SLO Daya 11000.
Golongan tarif listrik R-1TR. Proses penambahan daya listrik juga dapat dilakukan secara online maupun dengan menghubungi sambungan telepon PLN di 123. Kamu harus menambah daya listrik rumah menjadi 1300 VA.
Informasi tarif listrik terbaru tersebut disampaikan dalam siaran pers tertanggal 8 Maret 2021. Tarif listrik PLN terbaru 2021. Daya VA MCB Ampere 450 900 1300 2200 3500 4400 5500 7700 11000.
Golongan R-1 Tegangan Rendah. Token listrik gratis dari PLN ini bisa dinikmati untuk Rumah Tangga dengan daya 450 VA. Permen ini juga mengatur tentang Penyesuaian Tarif Tenaga Listrik Tariff Adjustment bagi 13 golongan tarif.
Berikut adalah biaya yang harus kamu tanggung. Daya 3500 VA Rp4565000. Update Bantuan Subsidi Upah.
Biaya pasang listrik baru daya 1300 VA. Daftar Urutan Daya Listrik PLN Beserta Golongan Tarif Pemakaian.

Memahami Segitiga Daya Teknik Elektro

Rincian Daftar Tarif Listrik Pln Terbaru April Juni 2021

Cara Klaim Diskon Listrik Pln Yang Diperpanjang Sampai Desember 2021 Simak Cara Mendapatkannya Tribunnewsmaker Com

Cara Tambah Daya Listrik Pln Online Konvensional Juni 2021 Serta Biayanya Rumah123 Com

Harga Token Listrik Pln Dan Menghitung Tarif Daya Listrik

Komentar
Posting Komentar